top-tech
Mailing lista
Pošaljite nam svoju E-Mail adresu i dobijaćete redovna obaveštenja u vidu newsletter-a.
Sigurnosno pitanje, molimo saberite dva broja:


 J          K8T      
KT     P    Y S   AM4
 P    LY5   G B      
 8     O    U A   JMU
MMY         UXJ      
Pretraga  
Članci i autorski tekstovi

Kvalitet drvenih podova

Piše: dr Nebojša Todorović

Utvrđivanje tvrdoće i gustine drveta u proizvodnim uslovima

Standardne metode za određivanje tvrdoće i gustine drveta zahtevaju određenu opremu, prostor i određen broj uzoraka i kao takve se vrlo malo koriste u fabričkim uslovima. Iz tih razloga pojavila se potreba za uvođenjem bržih, jednostavnijih i u praktičnim uslovima izvodljivih postupaka za merenje navedenih svojstava u proizvodnji drvenih podova.
Za proizvođače drvenih podova veoma je važna činjenica da su tvrdoća i gustina drveta indikatori kvaliteta parketnih daščica. Tvrdoća je otpor koji drvo pruža prodiranju nekog drugog stranog tela veće tvrdoće u njegovu masu, dok je gustina odnos između mase i zapremine drveta pri određenoj vlažnosti. Vlažnost je ključni faktor koji utiče na promenu ova dva svojstva. Kod domaćih vrsta sa promenom vlažnosti u higroskopnom području (područje koje obuhvata vlažnost od apsolutno suvog stanja do tačke zasićenosti vlakanaca) gustina drveta raste dok tvrdoća opada. Sa druge strane, gustina i tvrdoća stoje u direktnoj zavisnosti tj. sa povećanjem gustine raste i tvrdoća drveta.

Veličina otiska kuglice na površini drveta po RVO metodi (levo) i po Brinell-ovoj metodi (desno)
Slika 1: Veličina otiska kuglice na površini drveta po RVO metodi (levo) i po Brinell-ovoj metodi (desno)

Prema standardu za podove sa oznakom SRPS EN 13226 gustina drveta nije uzeta u obzir kao kriterijum za ocenu kvaliteta, dok, isti standard navodi da se za proizvodnju parketa može koristiti drvo koje ima tvrdoću veću od 10 N/mm2. Pored tri klase kvaliteta, u koje se mogu selektovati daščice, postoji i tzv. posebna klasa. Posebnu klasu može da ponudi proizvođač ili da zahteva kupac i ona uglavnom obuhvata kriterijume koji nisu navedeni u označenim klasama. Ovo znači da posebna klasa može sadržati i informacije o tvrdoći ili gustini drveta, naročito kod proizvodnih naloga koji zahtevaju da daščice imaju veću tvrdoću odnosno veću otpornost na habanje u odnosu na uobičajenu isporuku. U prilog ovome ide i činjenica da nemaju sve parketne daščice, u istoj klasi kvaliteta, jednaku tvrdoću. Ovo može biti od velikog značaja kod upotrebe podova na mestima gde se očekuje veće habanje površine. Zašto u cenu kvaliteta, pored vrste drveta, klase, dimenzije, vrste parketa, završne obrade, ne bi bila i tvrdoća drveta od koje je izrađen pod? Kako odrediti tvrdoću i gustinu u proizvodnim uslovima?
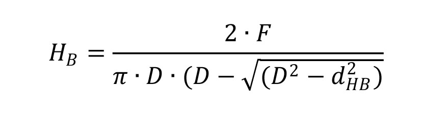
Tvrdoća drveta se, u laboratorijskim uslovima, meri pomoću standardnih metoda – metod po Brinell-u (SRPS EN 1534) i metod po Janki (SRPS D.A1. 032 ili ISO 3350). Obe metode koriste čeličnu kuglicu određenog prečnika koja se utiskuje u masu drveta. Uređaj za merenje tvrdoće je specijalizovan i zahteva određen prostor, osposobljeno osoblje, određeno vreme i dr., tako da nije moguće takav uređaj pomerati ili sa njim izvoditi merenja u fabričkim uslovima. Takođe, metoda za utvrđivanje gustine drveta iziskuje određenu laboratorijsku opremu i izradu velikog broja uzoraka određenih dimenzija. Kao ovakve, naučno dokazane, metode za merenje tvrdoće i gustine drveta se u proizvodnim uslovima vrlo malo ili uopšte ne koriste. Iz tih razloga pojavila se potreba za uvođenjem bržih, jeftinijih, jednostavnijih i u praktičnim uslovima izvodljivih metoda za merenje navedenih svojstava drveta. Standardni postupak za određivanje tvrdoće kod proizvodnje podova može da zameni metod relativne veličine otiska (RVO) (Bhrem 2006). Ovo je indirektna metoda koja se sastoji u merenju veličine otiska koju proizvodi kuglica prečnika 30 mm i težine 110 g koja se propusta slobodnim padom kroz plastičnu – pvc cev dužine 150 cm i prečnika 35 mm. Nakon pada kuglice izmeri se prečnik otiska, a zatim se dobijena vrednost pomnoži sa koeficijentom koji za bagrem, jovu, trešnju, javor, grab, hrast, bukvu i jasen prosečno iznosi 0,667 (Sedlar i dr. 2015). Na ovaj način se dobija dimenzija otiska po Brinell-ovoj metodi i nju je potrebno ubaciti u formulu da bi se dobila tvrdoća:

Gde je: HB – Tvrdoća drveta po Brinell-u (N/mm2); F – sila – 1000 N; D – prečnik kuglice od 10 mm; dHB – izračunat prečnik otiska u mm.

Na ovaj način se može, sa tačnošću većom od 95%, izmeriti tvrdoća drveta u proizvodnim uslovima bez korišćenja komplikovane laboratorijske opreme. Dobijeni podatak može ukazati na to da li je tvrdoća daščice u intervalu koji je očekivan za tu vrstu drveta ili ne.
Gustina drveta se, takođe, može brzo odrediti u proizvodnim uslovima. Jednostavnim merenjem mase parketne daščice na liniji proizvodnje možete se konstatovati da li se daščica nalazi u intervalu gustine koji je očekivan za tu vrstu drveta pri određenoj vlažnosti. Takođe, merenjem mase može se utvrditi i i da li je vlažnost daščice u intervalu koji je propisan standardom ili zahtevom kupca. Procedura za određivanje gustine se sastoji od nekoliko koraka:

  • Utvrditi gustinu pri 0 % vlažnosti kod drveta iz kog će se proizvoditi parketne daščice. Ovaj korak je moguće izvesti sušenjem uzoraka drveta na temperaturi od 103±2° C do konstantne mase,
  • Izračunati gustine drveta za interval vlažnosti parketa,
  • Za određeni profil parketne daščice neophodno je izmeriti stvarnu zapreminu i i idealnu zapreminu. Stvarna zapremina se može odrediti u 3D programu po izboru. Odnosom idealne i stvarne zapremine može se odrediti koeficijent odstupanja. Prema dosadašnjim rezultatima odstupanje idealne zapremine od stvarne je manja od 5.5 %, i da je kod daščica većih dimenzija odstupanje proporcionalno manje nego kod manjih daščica. Takođe, oblik daščice utiče na odstupanje. Kod jednostavnijiih profila odstupanje je zanemarljivo, dok je kod složenijih oblika odstupanje do 4,55 %. Manji uzorci imaju veća odstupanja od idealne zapremine.
  • Da bi smo odredili interval mase daščica neophodno je da odredimo minimalnu i maksimalnu masu. Minimalna masa se dobija množenjem stvarne zapremine sa gustinom pri nižem procentu vlažnosti, dok se maksimalna masa dobija množenjem stvarne zapremine sa gustinom pri većem procentu vlažnosti.

Kao primer, za prethodno navedeno, navešćemo podatke koji su dobijeni za klasičnu parketnu daščicu dimenzija 400x56x22 mm izrađenu od hrasta, bukve, jasena i bagrema (Sedlar i dr. 2015). U tabeli 1. su dati podaci o minimalnoj i maksimalnoj masi koje te daščice treba da imaju da bi ispunili uslov vlažnosti i gustine za datu vrstu drveta. Odstupanje mase iznosi 1,38 % što je podatak koji je dobijen kao odnos stvarne prema idealnoj zapremini parketne daščice i kao takav nije tehnološki značajan.

 Primer masa daščica dimenzija 400x56x22 mm kod klasičnog parketa sa odstupanjem od 1,38 %, (Sedlar i dr. 2015)
Tabela 1: Primer masa daščica dimenzija 400x56x22 mm kod klasičnog parketa sa odstupanjem od 1,38 %, (Sedlar i dr. 2015)
Na osnovu svega navedenog može se pretpostaviti da bi prikazane metode u proizvodnim uslovima mogle, sa velikom tačnošću, da zamene standardne procedure u proceni tvrdoće i gustine drveta. Dobijanje ovih podataka, u samoj fabrici, bi moglo značajno da doprinese kako finansijskoj uštedi tako i boljem kvantitativnom i kvalitativnom iskorišćenju u proizvodnji parketa.